電磁流量轉換器主要特點與性能
點擊次數:2849 發布時間:2020-11-17 13:45:35
電磁流量轉換器的作用是把電磁流量傳感器輸出的毫伏級電壓信號放大,并轉換成與被測介質體積流量成正比的標準電流、電壓或頻率信號輸出,以便與以儀表及調節器配合,實現流量的指示、記錄、調節和積算。
根據電磁流量傳感器的特點,要求轉換器具備以下幾個方面的性能:
1.線性放大能力
轉換器應具有高穩定性能的線性放大器,能把毫伏級流量信號放大到足夠高的電平,并線性地轉換成標準電信號輸出。
2.能夠分辨和抑制各種干擾信號
根據不同的勵磁方式,轉換器應有相應的措施抑制或消除各干擾信號的影響。
對于正交干擾,除了傳感器中的干擾調整機構調零外,轉換器中應有分辨和抑制正交干擾的機構,以消除傳感器中剩余的正交干擾信號。否則,這些干擾信號同樣會被轉換器的放大器放大,嚴重影響儀表工作。對正交干擾的抑制方法一般是將經過主放大器放大后的正交干擾信號通過相敏檢波的方式鑒別分離出來,然后反饋到主放大器的輸入端,以抵消輸入端進來的正交干擾信號。
對干同相干擾,由于產生的原因比較復雜,抑制的方法也較多。在傳感器方面,將電極和勵磁線圈在幾何形狀、尺寸以及性能參數上做得結構均勻對稱、并分別嚴格屏蔽,以減少電極與勵磁線圈之間的分布電容影響。另外,單獨、良好的接地也十分重要,減少接地電阻可以減小由于管道雜散電流產生的同相干擾電勢。在轉換器方面,通常是在轉換器的前置放大級采用差分放大電路,以利用差分放大器的高共模抑制比,使進入轉換器輸入端的同相干擾信號得不到放大而被抑制。在轉換器的前置放大級中增加恒流源電路,能更好地抑制同相干擾。
對于方波勵磁,應避開上升沿和下降沿處的微分干擾采樣流量信號。
3.應有足夠高的輸入阻抗
電磁流量轉換器必須有足夠高的輸入阻抗,以克服傳感器內阻變化帶來的影響,提高測量精準度。
由于電磁流量傳感器的內阻很高,一般可高達幾十到幾百千歐(與被測介質的電導率和電極直徑有關)。因此轉換器必須有足夠高的輸入阻抗,以提高測量準確度和加長傳輸信號導線。如圖7-12所示為傳感器和轉換器的等效電路,圖中,e是傳感器產生的流量電勢信號,r是傳感器內阻,RL為轉換器輸入阻抗,ex是轉換器接收到的流量電勢信號。

當傳感器與轉換器連接在一起時,傳感器產生的流量信號電勢為e,而傳送給轉換器的信號僅為ex,顯然,ex〈e,有一部分信號電勢消耗在傳感器內阻r上,根據歐姆定律可知

當傳感器與轉換器連接在一起時,傳感器產生的流量信號電勢為e,而傳送給轉換器的信號僅為ex,顯然,ex〈e,有一部分信號電勢消耗在傳感器內阻r上,根據歐姆定律可知

如果欲保證0.1%的傳輸精度,也就是ex≥0.999e,則r與RL之間必須滿足

從式7-9可以推得:RL≥0.999Fr≈1000r。
如果傳感器內阻r為200kΩ,則為了保證0.1%的傳輸精度,轉換器的輸入阻抗必須大于或等于200MΩ。如果傳感器內阻再提高,則轉換器的輸入阻抗也應更高。
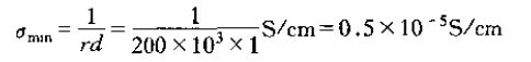
傳感器內阻與被測介質的電導率δ以及電極與介質的接觸面積有關,對于通常采用的圓形電極來說,如果電極直徑d相對于兩電極間的距離D很小時,可以近似地用下式來計算傳感器內阻

假設電極直徑為1cm,則為使傳感器內阻不超過200kΩ,被測介質的電導率的*小值應控制在

表7-3列出了部分液體(液體流量計)的介質電導率,從表中可以看出,這個電導率相當于蒸餾水的電導率。一般可以認為這個值是目前通用電磁流量計可測量的介質電導率下限。如果希望測量電導率更低的流體介質而又不影響傳輸精度,則轉換器應有更高的輸入阻抗。一般轉換器的*小輸入阻抗約達200MΩ,目前國內一些較好的轉換器,輸入阻抗已可達10000MΩ以上。
轉換器的輸入阻抗RL越高,測量時就越不容易受傳感器內阻r變化的影響,可測介質的電導率下限也可降得越低,即擴大了電磁流量計的應用范圍。國外有特殊結構的電磁流量計,用與液體不接觸的電極以電容方式傳送流量信號,可測電導率下限達10-8S/cm的液體。
4.應能消除電源電壓和頻率波動的影響
對于交流勵磁的電磁流量計,從式7-4可以看出,即使管徑D和平均流速u保持不變,當電源電壓或頻率波動時,也會使電勢信號e波動。所以,在檢測流量信號時,如果只檢測電勢信號e,就會使儀表的工作受電壓和頻率波動的影響。為了消除電壓和頻率波動的影響,可采用測量比值e/Bmsinwt,而不是僅測量e的方法。這樣,從流量的基本測量關系式7-5可知,當管道直徑D固定時,所測得的信號e/Bmsinwt恰能反映流量qv,消除了電源電壓和頻率的影響。較早期的工頻勵磁電磁流量轉換器采用霍爾乘法器實現e/B的除法運算,由于霍爾乘法器體積大,工藝復雜,穩定性又較差,可用乘法電路代替霍爾乘法器。

對于方波勵磁的電磁流量計,由于B已基本不受電源的影響,所以不需要測量e/B,可直接避開微分干擾采樣流量信號。
上一篇:電磁流量計的基本概述及優點
下一篇:電磁流量計的分類及概述


